Skip to main content Deutsch

News

Sorry, this content is only available in German!

Neuigkeiten

March 2026 - Paper accepted in JTCVS open

The choice of mitral valve surgery type and mid-term outcomes in patients up to 70-years: results of the AUTHEARTVISIT Study

J. Auer1, A. Florian2, C. Wagenlechner3,4, B. Reichardt5, R. Wendt6, M. Mildner7, J. Mascherbauer8,9, D. Zimpfer2, HJ Ankersmit4,10*, A. Graf3

1 Department of Internal Medicine I with Cardiology and Intensive Care, St. Josef Hospital Braunau, Braunau am Inn, Austria
2 Department of Cardiac and Thoracic Aortic Surgery, Medical University of Vienna, Vienna, Austria
3 Center for Medical Data Science, Medical University of Vienna, Vienna, Austria
4 Department of Thoracic Surgery, Medical University of Vienna, Austria 
5 Austrian Social Health Insurance Fund, Eisenstadt, Austria
6 Department of Nephrology, St. Georg Hospital, Leipzig, Germany
7 Department of Dermatology, Medical University of Vienna, Austria
8 Department of Internal Medicine 3, University Hospital St. Poelten, St. Poelten, Austria 
9 Karl Landsteiner University of Health Sciences, Krems an der Donau, Austria
10 Laboratory for Cardiac and Thoracic Diagnosis, Regeneration and Applied Immunology, Austria

 

Abstract

Objective: Mitral valve replacement (MVR) is indicated when mitral valve repair (MVRe) is not feasible. Prosthesis choice remains controversial, especially in patients younger than 70 years   – and despite existing guidelines, all too often even in those under 65. This study investigated long-term survival and adverse outcomes after mechanical (SMMVR) versus biological mitral valve replacement (SBMVR) in a nationwide Austrian cohort, also including MVRe as control group.

Methods: We performed a retrospective cohort study using Austrian insurance data. It included 3,520 patients aged ≤70 years who underwent mitral heart valve surgery between 1.1.2010 and 31.12.2020. The primary endpoint was all-cause death; secondary endpoints included time to major adverse cardiac and cerebrovascular events, reoperation, myocardial infarction, heart failure, stroke, intracerebral hemorrhage (ICH) and bleeding other than ICH. These were analyzed via time-to-event analysis, including Cox proportional hazards regression and cause-specific hazards with inverse probability of treatment weighting, adjusting for demographic and clinically relevant confounders.

Results: Among 3520 patients, 413 underwent SMMVR, 487 SBMVR and 2620 underwent MVRe. Estimated 10-year survival was 71.6% after SMMVR, 63.2% after SBMVR, and 75.9% after MVRe. Compared with SMMVR, SBMVR was associated with a higher risk of death beyond 4 years (adjusted HR 1.94, 95% CI 1.11-3.39, P=0.02) and reduced reoperation-free survival (adjusted HR 2.10, 95% CI 1.24-3.56, P=0.006). Early outcomes showed no significant differences.

Conclusions: In patients ≤70 years undergoing mitral valve replacement, SMMVR provides superior long-term survival compared to SBMVR. These findings may support mechanical valves as the preferred option in patients younger than 70 years.

 

March 2026 - publication accepted in Nature Communications

A single-cell atlas revealing cellular heterogeneity across healthy and diseased human thymus

Direder M (1,2,3), Wielscher M (4), Salek M (4), Laggner M (1,2), Copic D (1,2,5), Klas K (1,2), Bormann D (1,2,6), Golabi B (4), Kühtreiber H (4), Lingitz M-T (1,2,7), Müllauer L (8), Schiefer A-I (8), Weninger W (4), Aigner C (9), Ankersmit HJ (1,2,9), Mildner M (4), Moser B (9,10,11)

1 Laboratory for Cardiac and Thoracic Diagnosis, Regeneration and Applied Immunology, 10 Department of Thoracic Surgery, Medical University of Vienna, Vienna, Austria;
2 Aposcience AG (FN 308089y), Dresdner Straße 87/A21, Vienna, Austria;
3 Department of Orthopedics and Trauma-Surgery, Medical University of Vienna, Vienna, 13 Austria;
4 Department of Dermatology, Medical University of Vienna, Vienna, Austria;
5 Department of Nephrology, Medical University of Vienna, Vienna, Austria;
6 Department of Neurology, Medical University of Vienna, Vienna, Austria;
7 Division of General Anesthesia and Intensive Care Medicine, Department of Anesthesia, 18 Critical Care and Pain Medicine, Medical University of Vienna, Vienna, Austria
8 Department of Pathology, Medical University Vienna, Vienna, Austria;
9 Department of Thoracic Surgery, Medical University of Vienna, Vienna, Austria;
10 Laboratory ARGE Moser - Bench to Bedside Research in Thoracic Surgery, Medical University Vienna, Vienna, Austria
11 Chair ESTS Thymic Working Group, European Society of Thoracic Surgeons

Abstract

The human thymus undergoes dynamic developmental changes, and pathological 48 deviations, particularly those involving impaired involution, are implicated in various thymic disorders. Here, we present a comprehensive single-cell RNA sequencing (scRNA-seq) analysis of 453,727 cells across 53datasets derived from healthy prenatal, pediatric, and adult thymic tissues, as well as six pathological conditions, including thymic hyperplasia and thymic epithelial tumors (types A, AB, B, C, and micronodular thymoma). We created a high-resolution cellular atlas that revealed disease-specific cellular populations and transcriptional programs, particularly within fibroblast subsets and thymic epithelial cells. Comparative analysis uncovered distinct intercellular communication patterns and identified transcriptional alterations associated with thymic pathology. Integration with published bulk RNA-seq datasets supports the robustness and translational relevance of our findings. This study provides a foundational resource for understanding the cellular and molecular landscape of thymic development and disease, offering new avenues for diagnostic and therapeutic innovations.

 

HJ Ankersmut und H Hofbauer: "Hegemon und Wissenschaft" (2017) - resurfaced in 2026

Hendrik Jan Ankersmit / Helmut Hofbauer: “Hegemon und Wissenschaft” (Buchkapitel) [pdf],

in: Stephan Kirste, Hanna Maria Kreuzbauer, Ingeborg Schrems, Michaela Strasser & Silvia Traunwieser: Die Kunst des Dialogs. Gedenkschrift für Michael Fischer. Peter Lang Verlag. Frankfurt/ Main 2017. S. 205-216.

 

December 2025 - publication accepted in Frontiers of Public Health

Short- and long-term outomes following COVID-19 or influenza hospitalization in adults: results of the AUTCOV study

Wagenlechner C1,2, Wendt R3, Reichardt B4, Mildner M5, Mascherbauer J6, Aigner C2, Auer J7, Ankersmit HJ2,8, Graf AC1

1 Medizinische Universitat Wien Zentrum fur Medical Data Science, Vienna, Austria
2 Clinic of Thoracic Surgery, Medical University of Vienna, Vienna, Austria
3 Department of Nephrology, Hospital St. Georg Leipzig, Leipzig, Germany
4 Austrian Social Health Insurance Fund, Eisenstadt, Austria
5 Clinic of Dermatology, Medical University of Vienna, Vienna, Austria
6 Department of Internal Medicine 3, University Hospital St. Poelten, St. Pölten, Austria
7 Department of Internal Medicine 1 with Cardiology and Intensive Care, St. Josef Hospital Braunau, Braunau, Austria
8 Laboratory for Cardiac and Thoracic Diagnosis, Regeneration and Applied Immunology, Vienna, Austria

Abstract:

Introduction: Large-scale registry-based studies on patients hospitalized with COVID-19 as compared to Influenza are scant but needed to re-evaluate the pandemic and characteristics of patients at risk of severe outcomes.

Methods: In this registry-based study from Austria, we examined short-and long-term outcomes after hospital admission due to COVID-19 or Influenza, also focusing on outcomes conditional on hospital survival. Data were provided on adults hospitalized with COVID-19 in the years 2020 and 2021 or with Influenza in 2016 – 2021 as well as on matched controls from the Austrian population. Analyses were performed separately for four age groups (19-40, 41-64, 65-74, ≥75).

Results: COVID-19 and Influenza hospitalized patients had a larger medication load as compared to the general population. Over all investigated age groups, polypharmacy was more frequently for the Influenza group. The risk for all-cause death in the whole follow-up period and death during hospital stay was higher in the COVID-19 group as compared to Influenza for all age groups ≥41 years. Furthermore, duration of hospitalization was longer in COVID-19 patients. Notably, readmission rates were higher in Influenza patients and mortality of hospital survivors was increased in younger Influenza patients aged 41-64 compared to COVID.

Conclusion: In the first two pandemic years, COVID-19 had devastating effects in a non-immunized population, mainly in older patients and in patients with pre-existing serious comorbidities, but the health consequences of Influenza should not be underestimated.

January 2025 - Präsentation "Conflict of Interest and Transparency in Clinical Research"

In seiner Präsentation "Conflict of Interest and Transparency in Clinical Research. Balancing Ethics, Evidence, and Patient Care" gibt Hannes Kühtreiber einen Überblick über das Thema Conflict of Interest und zeigt Möglichkeiten auf, wie man Biases in publizierten klinischen Studien erkennen kann.

June 2024 - publication accepted in Nature Communications

Single-nucleus RNA sequencing reveals glial cell type-specific responses to ischemic stroke in malerodents

Bormann D 1,2, Knoflach M 3,4, Poreba E 5, Riedl CJ 6,7, Testa G 6,7, Orset C 8,9, Levilly A 8,9, Cottereau A 8,9, Jauk P 6,7,10, Hametner S 6,7, Stranzl N 6,7, Golabi B 5, Copic D 1,2,11, Klas K 1,2, Direder M 1,2,12, Kühtreiber H 1,2, Salek M 1,2, zur Nedden S 13, Baier-Bitterlich G 13, Kiechl S 3,4, Haider C 6,7, Endmayr V 6,7, Höftberger R 6,7, Ankersmit HJ 1,2*, Mildner M 5*.

1 Applied Immunology Laboratory, Department of Thoracic Surgery, Medical University of   Vienna, 1090 Vienna, Austria 
2 Aposcience AG, 1200 Vienna, Austria
3 Department of Neurology, Medical University of Innsbruck, Anichstraße 35, 6020 Innsbruck, Austria
4 VASCage, Research Centre on Vascular Ageing and Stroke, 6020 Innsbruck, Austria
5 Department of Dermatology, Medical University of Vienna, 1090 Vienna, Austria
6 Division of Neuropathology and Neurochemistry, Department of Neurology, Medical University of Vienna, 1090 Vienna, Austria
7 Comprehensive Center for Clinical Neurosciences and Mental Health, Medical University of Vienna, Vienna, Austria.
8 Normandie University, UNICAEN, ESR3P, INSERM UMR-S U1237, Physiopathology and Imaging of Neurological Disorders (PhIND), GIP Cyceron, Institut Blood and Brain @ Caen-Normandie (BB@C), Caen, France 
9 Department of Clinical Research, Caen-Normandie University Hospital, Caen, France
10 Center for Medical Physics and Biomedical Engineering, Medical University of Vienna, 1090 Vienna, Austria
11 Division of Nephrology and Dialysis, Department of Internal Medicine III, Medical University of Vienna, 1090 Vienna, Austria.
12 Department of Orthopedics and Trauma Surgery, Medical University of Vienna, 1090 Vienna, Austria
13 Institute of Neurobiochemistry, CCB-Biocenter, Medical University of Innsbruck, 6020 Innsbruck, Austria
*: contributed equally

Abstract

Neuroglia critically shape the brain´s response to ischemic stroke. However, their phenotypic heterogeneity impedes a holistic understanding of the cellular composition of the early ischemic lesion. Here we present a single cell resolution transcriptomics dataset of the brain´s acute response to infarction. Oligodendrocyte lineage cells and astrocytes range among the most transcriptionally perturbed populations and exhibit infarction- and subtype-specific molecular signatures. Specifically, we find infarction restricted proliferating oligodendrocyte precursor cells (OPCs), mature oligodendrocytes and reactive astrocytes, exhibiting transcriptional commonalities in response to ischemic injury. OPCs and reactive astrocytes are involved in a shared immuno-glial cross talk with stroke-specific myeloid cells. Within the perilesional zone, osteopontin positive myeloid cells accumulate in close proximity to CD44+ proliferating OPCs and reactive astrocytes. In vitro, osteopontin increases the migratory capacity of OPCs. Collectively, our study highlights molecular cross talk events which might govern the cellular composition of acutely infarcted brain tissue.

Mai 2024 - Paper akzeptiert im European Journal of Cardio-Thoracic Surgery

Selection for transcatheter versus surgical aortic valve replacement and mid-term
survival: results of the AUTHEARTVISIT Study

Auer Johann, Krotka Pavla, Reichardt Berthold, Traxler Denise, Wendt Ralf, Mildner Michael, Ankersmit Hendrik Jan, Graf Alexandra

Abstract

Objectives: Limited data are available from randomized trials comparing outcomes between transcatheter aortic valve replacement (TAVR) and surgery in patients with different risks and with follow-up >2 years. In this large, population-based cohort study, longterm mortality and morbidity were investigated in patients undergoing aortic valve replacement (AVR) for severe aortic stenosis using a surgically implanted bioprosthesis (sB-AVR) or TAVR.

Methods: Individual data from the Austrian Insurance funds from 2010 through 2020 were analysed. The primary outcome was all-cause mortality, assessed in the overall and propensity score–matched populations. Secondary outcomes included reoperation and cardiovascular events.

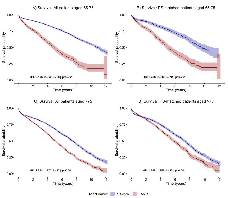
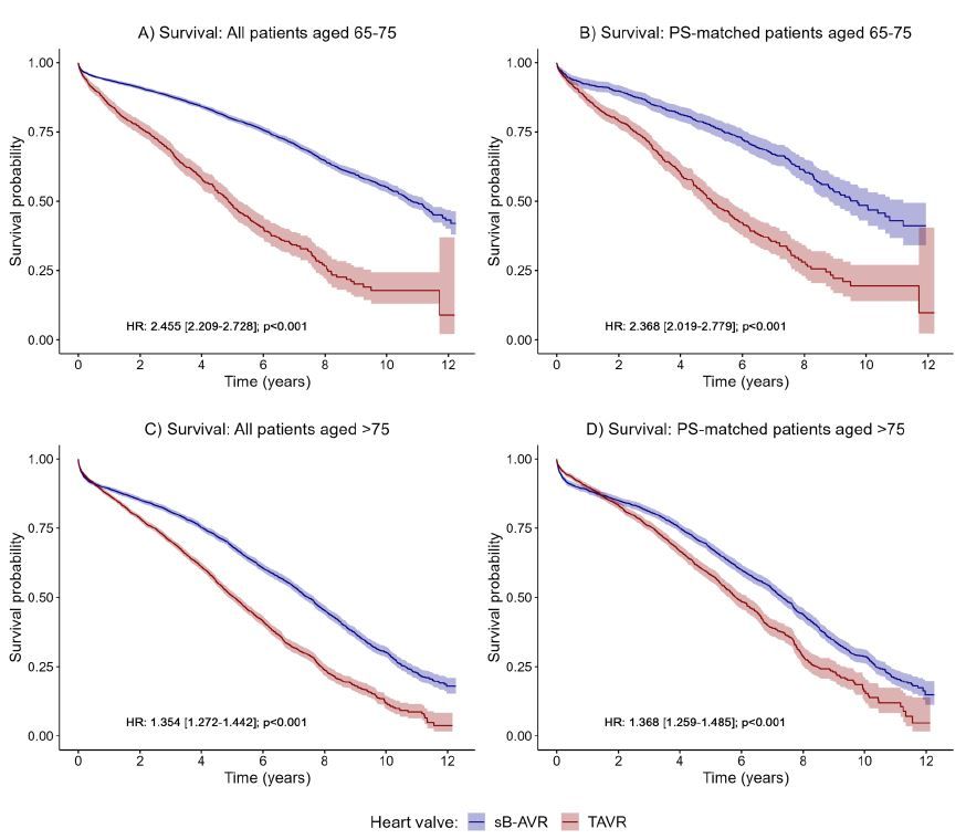
Results: From January 2010 through December 2020, a total of 18 882 patients underwent sBAVR (n=11 749; 62.2%) or TAVR (n=7133; 37.8%); median follow-up was 4.0 (interquartile range 2.1–6.5) years (maximum 12.3 years). The risk of all-cause mortality was higher with TAVR compared with sB-AVR: hazard ratio (HR) 1.552, 95% confidence interval (CI) 1.469–1.640, p<0.001; propensity score–matched HR 1.510, 1.403–1.625, p<0.001. Estimated median survival was 8.8 years (95% CI 8.6–9.1) with sB-AVR vs 5 years (4.9–5.2) with TAVR. Estimated 5-year survival probability was 0.664 (0.664–0.686) with sB-AVR vs 0.409 (0.378–0.444) with TAVR overall, and 0.690 (0.674–0.707) and 0.560 (0.540–0.582), respectively, with propensity score matching. Other predictors of mortality were age, sex, previous heart failure, diabetes, and chronic kidney disease.

Conclusion: In >2-year follow-up, selection for TAVR was significantly associated with higher all- cause mortality compared with sB-AVR in patients ≥65 years with severe, symptomatic aortic stenosis.

In patients ≥ 65 years aortic valve replacement with transcatheter aortic valve replacement (TAVR) was compared to surgically implanted bioprostheses (sBAVR), both in the overall cohort and propensity score-matched populations (PSMP). Overall survival was significantly impaired in patients with TAVR between 65-75 years of age, both in the overall cohort (HR = 2.455, p < 0.001) and the PSMP cohort (HR = 2.386, p < 0.001). This finding was also present in patients > 75 years (overall: HR = 1.354, p < 0.001; PSMP: HR = 1.368, p < 0.001)

Legend:

TAVR = transcatheter aortic valve replacement,
sB-AVR = surgically implanted bioprostheses,
PSMP = propensity score-matched populations,
HR = hazard ratio

 

Paper published in Neurobiology of Disease

Exploring the heterogeneous transcriptional response of the CNS to systemic LPS and Poly(I:C)

Daniel Bormann 1, Dragan Copic 2, Katharina Klas 1, Martin Direder 3, Christian J Riedl 4, Giulia Testa 4, Hannes Kühtreiber 1, Emilia Poreba 5, Simon Hametner 4, Bahar Golabi 5, Melanie Salek 1, Carmen Haider 4, Verena Endmayr 4, Lisa E Shaw 5, Romana Höftberger 4, Hendrik J Ankersmit 1, Michael Mildner 6

1Department of Thoracic Surgery, Applied Immunology Laboratory, Medical University of Vienna, Vienna, Austria; Aposcience AG, 1200 Vienna, Austria.

2Department of Thoracic Surgery, Applied Immunology Laboratory, Medical University of Vienna, Vienna, Austria; Aposcience AG, 1200 Vienna, Austria; Division of Nephrology and Dialysis, Department of Internal Medicine III, Medical University of Vienna, Vienna, Austria.

3Department of Thoracic Surgery, Applied Immunology Laboratory, Medical University of Vienna, Vienna, Austria; Aposcience AG, 1200 Vienna, Austria; Department of Orthopedics and Trauma Surgery, Medical University of Vienna, Vienna, Austria.

4Division of Neuropathology and Neurochemistry, Department of Neurology, Medical University of Vienna, Vienna, Austria.

5Department of Dermatology, Medical University of Vienna, Vienna, Austria.

6Department of Dermatology, Medical University of Vienna, Vienna, Austria. Electronic address: michael.mildner@meduniwien.ac.at.

 

Abstract

Peripheral contact to pathogen-associated molecular patterns (PAMPs) evokes a systemic innate immune response which is rapidly relayed to the central nervous system (CNS). The remarkable cellular heterogeneity of the CNS poses a significant challenge to the study of cell type and stimulus dependent responses of neural cells during acute inflammation. Here we utilized single nuclei RNA sequencing (snRNAseq), serum proteome profiling and primary cell culture methods to systematically compare the acute response of the mammalian brain to the bacterial PAMP lipopolysaccharide (LPS) and the viral PAMP polyinosinic:polycytidylic acid (Poly(I:C)), at single cell resolution. Our study unveiled convergent transcriptional cytokine and cellular stress responses in brain vascular and ependymal cells and a downregulation of several key mediators of directed blood brain barrier (BBB) transport. In contrast the neuronal response to PAMPs was limited in acute neuroinflammation. Moreover, our study highlighted the dominant role of IFN signalling upon Poly(I:C) challenge, particularly in cells of the oligodendrocyte lineage. Collectively our study unveils heterogeneous, shared and distinct cell type and stimulus dependent acute responses of the CNS to bacterial and viral PAMP challenges. Our findings highlight inflammation induced dysregulations of BBB-transporter gene expression, suggesting potential translational implications on drug pharmacokinetics variability during acute neuroinflammation. The pronounced dependency of oligodendrocytes on IFN stimulation during viral PAMP challenges, emphasizes their limited molecular viral response repertoire.

 

Paper published in European Journal of Cardio-Thoracic Surgery

Revisiting aortic valve prosthesis choice in patients younger than 50 years: 10 years results of the AUTHEARTVISIT Study

Denise Traxler1,2,3; Pavla Krotka4; Berthold Reichardt5, Dragan Copic1,2,6; Cecilia Veraar2,7; Michael Mildner8, Ralph Wendt9, Johann Auer10, Julia Mascherbauer11, Hendrik Jan Ankersmit1,2 and Alexandra Graf4

1 Clinic of Thoracic Surgery, Medical University of Vienna, Austria
2 Laboratory for Cardiac and Thoracic Diagnosis, Regeneration and Applied Immunology, Austria
3 Department of Oral and Maxillofacial Surgery, Medical University of Vienna, Austria
4 Center for Medical Data Science, Medical University of Vienna, Austria
5 Austrian Social Health Insurance Fund, Eisenstadt, Austria.
6 Division of Nephrology and Dialysis, Medical University of Vienna, Austria
7 Division of Cardiothoracic and Vascular Anesthesia and Intensive Care Medicine, Medical University of Vienna, Austria
8 Department of Dermatology, Medical University of Vienna, Austria
9 Department of Nephrology, St. Georg Hospital, Leipzig, Germany.
10 Department of Internal Medicine I with Cardiology and Intensive Care, St. Josef Hospital Braunau, Braunau am Inn, Austria
11 Department of Internal Medicine 3, University Hospital St. Poelten, Austria
 

Abstract

Objectives: This population-based cohort study investigated mid-term outcome after surgical aortic valve replacement (AVR) with a bioprosthetic or mechanical valve prosthesis in patients aged <50 years in a European social welfare state. 

Methods: We analyzed patient data from the main social insurance carriers in Austria (2010–2020). Subsequent patient-level record linkage with national health data provided patient characteristics and clinical outcome. Survival, reoperation, myocardial infarction, heart failure, embolic stroke or intracerebral hemorrhage, bleeding other than intracerebral hemorrhage, and major adverse cardiac events were evaluated as outcomes. 

Results: A total of 991 patients were analyzed. Regarding demographics, no major differences between groups were observed. Multivariable Cox regression revealed no significant difference in overall survival (p=0.352) with a median follow up time of 6.2 years. Reoperation-free survival was decreased (HR=1.560 [1.076–2.262], p=0.019) and the risk for reoperation was increased (HR=2.770 [1.402–5.472], p=0.003) in patients who received bioprostheses. Estimated probability of death after reoperation was 0.23 [CL: 0.08–0.35] after two years and 0.34 [CL: 0.06–0.53] after ten years over both groups. Regarding further outcomes, no significant differences between the two groups were observed.

Conclusion: In patients below 50 years of age receiving AVR, implantation of bioprostheses when compared to mechanical heart valve prostheses was associated with a significantly higher rate of reoperations and reduced reoperation-free survival. Nevertheless, we could not observe a difference in overall survival. However, long-term follow up has to evaluate that a significantly lower rate of reoperations may translate in consistently improved long-term survival.

 

 

Poster Session Award for Daniel Bormann

Dr Daniel Bormann was awarded the Poster Session Award of the YSA PhD Symposium 2023 for the poster "Exploring the Heterogeneous Transcriptional Response of the CNS to LPS and Poly (I:C): Insights from Single Cell Transcriptomics"

Paper akzptiert in der Zeitschrift Cells

Antithymocyte globulin inhibits CD8+ T-cell effector functions 2 via the paracrine induction of PDL-1 on monocytes

 Copic D, Direder M, Klas K, Bormann D, Laggner M, Ankersmit HJ, Mildner M.

Abstract: Background: Antithymocyte globulins (ATG) are T-cell-depleting antibodies used in solid organ transplantation for induction therapy in sensitized patients with a high risk of graft rejection. Previously described effects besides the depletion of T cells suggest additional modes of action and identified further cellular targets. Methods: We examined the transcriptional changes arising in immune cells from human blood after ex vivo stimulation with ATG at the single-cell level to uncover additional mechanisms by which ATG regulates T-cell activity and effector functions. Findings: Analysis of the paracrine factors present in the plasma of ATG-treated whole blood revealed high levels of chemokines and cytokines, including interferon-γ (IFN-γ). Furthermore, we identify an increase in the surface expression of programmed death ligand 1 (PDL-1) on monocytes mediated by the released paracrine factors. In addition, we show that this induction is dependent on the acti- 28
vation of JAK/STAT signaling via the binding of IFN-γ to interferon-γ receptor 1 (IFN-γR1). Lastly, we demonstrate that the modulation of the immune-regulatory axis of programmed cell death protein 1 (PD1) on activated CD8+ T cells with PDL-1 found on monocytes mediated by ATG potently inhibits effector functions including proliferation and granzyme B release of activated T cells. Interpretation: Together, our findings represent a novel mode of action by which ATG exerts its immunosuppressive effects.

Fig. 2. ATG upregulated CD274 in monocytes from whole blood ex vivo. (A) Feature plot for CD274 of untreated, isotype- and ATG-treated white blood cells. Monocytes, FCGR3A+ monocyted and dendritic cells are annotated, red colour gradient inidicates expression level.

 

Theodor-Billroth-Preis 2022 für Dr.in Vera Vorstandlechner

Wir freuen uns, dass die Mitarbeiterin unserer Arbeitsgruppe, Dr.in Vera Vorstandlechner,

mit dem Theodor-Billroth-Preis 2022

der Österreichischen Gesellschaft für Chirurgie

für ihre Arbeit: "The serine proteases dipeptidyl-peptitase 4 and urokinase are key molecules in human and mouse scar formation"

ausgezeichnet wird.

Die Urkundenverleihung findet am 16.06.2022 im Rahmen der Vollversammlung der Gesellschaft, von 12:30–14:30 Uhr im Billrothhaus, Frankgasse 8, 1010 Wien statt.